百合小说
百合小说概况
百合小说简介
机构设置
学院领导
Introduction
师资队伍
服装设计一系
服装设计二系
服装设计三系
服装工程系
表演系
实验室
人才培养
本科生
研究生
博士生
留学生
学科建设
名师名家
精品课程
教学成果
实验室建设
科学研究
科研平台
科研项目
科研成果
学术动态
党建工作
组织机构
组织发展
理论学习
支部风采
工会工作
学生工作
学生组织
校园文化
赛事速递
获奖情况
学工动态
招生就业
招生信息
就业信息
国际合作
杰出校友
媒体聚焦
时 装 周
下载中心
中 /
EN
Open Menu
百合小说概况
返回
百合小说简介
机构设置
学院领导
Introduction
师资队伍
返回
服装设计一系
服装设计二系
服装设计三系
服装工程系
表演系
实验室
人才培养
返回
本科生
研究生
博士生
留学生
学科建设
返回
名师名家
精品课程
教学成果
实验室建设
科学研究
返回
科研平台
科研项目
科研成果
学术动态
党建工作
返回
组织机构
组织发展
理论学习
支部风采
工会工作
学生工作
返回
学生组织
校园文化
赛事速递
获奖情况
学工动态
招生就业
返回
招生信息
就业信息
其他链接
返回
国际合作
杰出校友
媒体聚焦
时 装 周
下载中心
百合小说
百合小说公告
百合小说动态
专业介绍
课程展览
学校官网
信息门户
百合小说
>>
百合小说公告
>>
正文
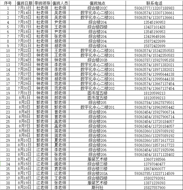
百合小说 2024年暑假值班安排表
时间:2024-07-05 信息来源:百合小说 阅读量:
上一篇:
2024“前锋杯”中国服装创新设计大赛
下一篇:
百合小说 2024年度桑麻奖学金拟推荐名单公示